Кажется, что плацебо — это обман: дали пустышку, человек поверил и чудесным образом почувствовал себя лучше. Логика подсказывает, что если знать о трюке заранее, он перестаёт работать. Но исследования показывают обратное: плацебо может помогать даже тогда, когда человек точно знает, что таблетки «пустые». И в этом замешана работа нашего мозга.
Пустышка, которая работает: научный парадокс эффекта плацебо. Источник изображения: tgstat.ru
Как мозг запускает эффект плацебо без лекарства
Эффект плацебо основан на внушении. Пациенту сообщают, что препарат обладает определённым положительным действием на организм, и, несмотря на неэффективность препарата, пациент ощущает субъективное улучшение самочувствия в соответствии с ожидаемым действием.
Ключевой момент в плацебо — не слепая вера, а ожидание эффекта. Когда человек принимает таблетку, даже зная, что в ней нет лекарства, мозг всё равно запускает знакомый сценарий: «сейчас должно стать легче».
Плацебо происходит от лат. placebo, дословно — «буду угоден, понравлюсь». Плацебо могут быть, например, сахарные таблетки, физраствор или крахмальные капсулы. Источник изображения: vox.com
В этот момент активируются зоны, связанные с болью, эмоциями и регуляцией тела. Вырабатываются эндорфины, дофамин, снижается уровень стресса. Организм реагирует не на вещество, а на сам контекст лечения (ритуал, ожидания, опыт, взаимодействие с врачом).
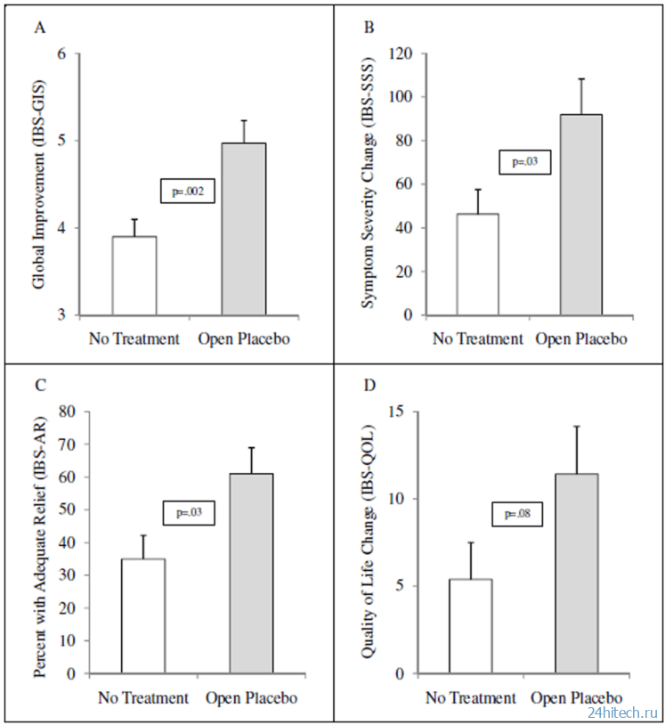
Интересный факт: в экспериментах с так называемым «открытым плацебо» людям прямо говорили, что таблетки не содержат действующего вещества. Тем не менее у пациентов с хронической болью, тревожными расстройствами и синдромом раздражённого кишечника (СРК) симптомы реально ослабевали.
Пациенты с СРК, получавшие плацебо, имели значительно более высокие баллы, чем контрольные группы, не получавшие лечения вовсе: по основному показателю результата, глобальной шкале улучшения (IBS-GIS); снизилась тяжесть симптомов (IBS-SSS), изменились показатели адекватного облегчения (IBS-AR), улучшились показатели качества жизни (IBS-QOL). Источник изображения: journals.plos.org
Почему знание о плацебо не мешает ему работать
Рациональное понимание работает в одной системе мозга, а автоматические реакции — в другой. Даже если вы знаете, что это плацебо, подсознание продолжает воспринимать лечение как сигнал к восстановлению.
Мозг устроен экономно: если метод раньше ассоциировался с облегчением, он запускается снова — без разрешения логики.
Проще говоря, знание не отменяет физиологию.
Как использовать эффект плацебо для снижения боли и стресса
Вот несколько практичных советов:
- Создавайте ритуалы улучшения самочувствия: чай перед сном, прогулка, дыхание. Регулярность усиливает эффект.
- Проговаривайте ожидание: «это поможет мне расслабиться» — мозг воспринимает это как инструкцию.
- Не обесценивайте самовнушение: если становится легче — значит, механизм сработал, и это реально.
Важно: плацебо не заменяет лечение серьёзных заболеваний, но может усиливать эффект терапии, снижать боль и стресс. Иногда мозг — самое недооценённое «лекарство».



Нет комментарий